电容器经过了几个历史阶段。在过去多年的发展、创新中,金属化膜电容器得到长足的发展,不但反映在膜本身上,也同时反映在金属镀层以及分割技术上。
1、薄膜生产商已开发生产出更薄的膜;
2、金属镀层成分配比、均匀程度、防暴技术等更加能满足电特性要求;
3、金属化的分割技术进一步得到改进。
聚丙烯薄膜电容能够比电解电容更加经济地覆盖600VDC到8000VDC的电压范围。薄膜电容具有的许多优势,使它替代电解电容成为工业和电力电子功率变换市场的趋势。
一、薄膜电容与电解电容的性能对比
薄膜电容的优点包括了:
1、承受高的有效电流的能力;
2、段时间能承受两倍于额定电压的过压;
3、能承受反向电压;
4、承受高峰值电流的能力;
5、相对较长寿命,可相对较长时间存储;
6、无酸性、无污染、存储问题相对较小。
但是,这种替代并非“微法对微法”的替代,而是功能上的替代。当然,尽管膜电容技术有了长足的进展,但不是所有的应用领域都能替代电解电容。
电解电容技术
典型的电解电容的最大标称电压为500 到600V。所以在要求更高电压的情况下,使用者必须将多只电容串联使用。同时,由于各电容的绝缘电阻不同,使用者必须在每个电容上连接电阻以平衡电压。
此外,如果超过额定电压1.5倍的反向电压被加在电容上时,会引起电容内部化学反应的发生。如果这种电压持续足够长的时间,电容会发生爆炸,或者随着电容内部压力的释放电解液会流出。为了避免这种危险,使用者必须给每个电容并联一个二极管。
在特定应用中电容的抗浪涌能力也是考察电容的重要指标。实际上,对电解电容而言,允许承受的最大浪涌电压是 VnDC的1.15或1.2倍。这种情况迫使使用者不得不考虑浪涌电压而非标称电压。
二、应用实例
1、直流支撑滤波:高电流设计和容值设计
a)使用电池供电的情况
应用为电车或电叉车

在这种情况下,电容被用来退耦。膜电容特别适合这种应用。因为直流支撑电容的主要标准是有效值电流的承受能力。这意味着直流支撑电容能够以有效值电流来设计。
以电车为例, 要求的数据:
工作电压: 120VDC;
允许的纹波电压: 4VRMS;
有效值电流: 80 ARMS @ 20 kHz;
最小容值为:
在膜电容中,很容易找到接近的容值。
与电解电容比较:
以每μF 20 mA为例,为了承受80A有效值电流,最小容值

比较可得:用膜电容替代电解电容时,膜电容容值是电解电容的1/25。
b)电网供电的电机驱动

直流母线电压波形:

容值的确定应从电网频率比逆变器频率低入手。使用下述等式确定容值:

流过电容的有效值电流为(近似表示式),该电流没有考虑逆变器侧的电流

通过上述近似式,我们能看出通过电容的有效值电流由负载功率、Umax 和U ripple决定。
以下用一个具体的例子作解释:
直流电压1000V, 纹波电压200V

I rms :(P=1MW) = 2468Arms
(P=500kW) = 1234Arms
(P=100kW) = 247Arms
将低频部分放大:

为了方便比较,我们选择电流承受能力为20mA每μF的电解电容做比较。
首先,P=1MW时:
rms电流是2468A rms, 需要的最小容值为123.40mF。
对应图中曲线的值,我们可以看到对频率低于100Hz的整流器,使用膜电容,该容值同样是需要的。
因此,对于三相,六整流管的整流器,频率为300Hz。我们可以看到对应 1MW的曲线,需要18.5mF的容值。与电解电容相比,如使用膜电容方案,体积几乎可以缩小4倍,同时有更高的可靠型。
在更低功率的情况下,同样能够给出相同的结果 , 对于10kW的功率,虽然容值变得很小,但是膜电容仍然是最好的解决方案。
甚至在100Hz整流器频率,只需要555μF的电容,供电电压与纹波电压仍然与前面相同。

2、过压设计
现在我们来看轻型牵引的应用,如:地铁,轻轨,电车等。

直流支撑电压波形:
在接触断开时,能量来自直流支撑电容,结果电压降低。因此,只要接触重新被建立过压将出现。

其中


有时△V =吊线电压,因为过压会达到额定电压的几乎2倍。膜电容可以承受这种过压。
电解电容可承受最大1.2倍的额定电压。所以,电解电容可以承受的最低电压为:2X1000V/1.2=1670V需要四支450V的电解电容串联。
考虑部分从网上得到的数据,10mF的电解电容,体积为26升,最大有效值电流为20Arms。而相同容值的膜电容,体积为25 升,最大有效值电流可比500Arms还高。
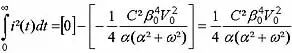
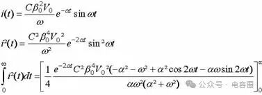
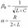
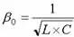
另外,由于过压的出现,也出现了流过电容的峰值电流。因此我们必须计算因过压产生的能量:
I2t=

在几个周期后,电流变为零,那么:

其中:
这种能量的计算也被用于端间短路放电的过程。这样的放电会产生非常高的峰值电流与振铃,这是电解电容不能承受的。
3、电压的额定
对于要求高额定电压的场合,膜电容的解决方案无疑很有优势。
但如果要求高容值的场合,膜电容解决方案的竞争力就会减弱。的确,如果没有过压,有效值电流很低,同时需要大容值的场合,在700V以下的应用中,膜电容很难与电解电容竞争。
4、寿命计算:
膜电容允许有很长的寿命期望,其寿命的长短由负载电压条件(工作电压)与热点温度决定。对于直流滤波电容,其寿命符合下面的曲线:

我们可以从这些曲线中看出,在工作电压为额定电压并且热点温度为70°C的情况下,膜电容的设计寿命为100,000小时。
寿命结束的标准为2%的电容容值的减少。然而,这是寿命结束的理论值,因为,在到达该点以后,电容仍然能够使用。如果在应用中允许5%的容值减少,寿命将得到显著的增加。
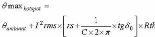
热点温度由下述的表达式决定:

其中,θmax hot spot :最大热点温度
tgδ0:电介质损耗
Rth:热阻
Rs:串联电阻
三、结论
以上我们为工程师进行设计优化提供了技术参考,在实际应用中仍然需要完整的计算以及实际测试。
然而,如果设计为低电压、低有效电流、且无反向电压,同时也没有峰值电流,那膜电容技术不合适。
但如果设计要求为高电压、高有效电流,有反向电压和过压,同时也有峰值电流,有长寿命要求,那么 聚丙烯金属化膜电容是最好的选择。